< 목차>
1. 선형대수학(Linear Algebra)의 정의
2. 선형대수학의 조건
선형대수학(Linear Algebra)의 정의
선(線:줄 선) 형(型: 모형 형) + 대(代: 대신할 대) 수(數: 셈 수) 학(學: 배울 학)
= 숫자(數)를 대신해서 선(線)의 형태(型)로 표현한다
선형대수를 사용하는 이유?
대량의 데이터를 포함한 복잡한 계산 과정을 몇 글자 되지 않는 간단한 수식으로 서술할 수 있게 해주는 강력한 도구.
즉, 데이터 분석에 필요한 각종 계산을 돕기 위한 학문이다.
아무리 복잡한 수식이라도, 선형성(linearity)을 만족한다면, 행렬로 표현할 수 있다.
선형성(Linearity)의 조건
직관적으로 아래와 같은 개념에서 시작되었다.

변수의 지수승(xn)을 가리키는 것이 아니라 일차함수(x1)와 같은 형태를 가리킨다.
선형의 직관적인 이해는 일차함수와 동일시해서 생각해도 좋지만,
선형의 엄밀한 의미는 일차함수보다 더 확장된다.
수학적으로 정확하게 설명하자면,
linear 하기 위해서는, 2가지 조건을 만족해야한다.
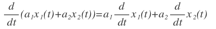
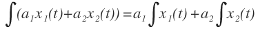
1) 중첩(superposition = additivity)

중첩의 원리가 통하기에, 결과값이 어느 정도 예측이 가능하다.
(입력값을 중첩시키면 --> 결과값도 중첩된 결과가 나오기에)
2) 동질(homogeniety)

이 2가지 조건을 합쳐서 표현하면 다음과 같다.

미분, 적분은 선형성을 만족하기에 --> 행렬로 표현해서 연산 가능.
그래프가 직선의 형태를 띠지 않더라도, 위의 조건을 만족하면 선형성을 가진다.(예시: 적분)


반대로, 직선의 그래프라도 원점을 통하지 않는다면(y=mx + n), 2조건을 만족하지 않기에
--> 선형성을 만족하지 않는다.
그렇다면 <행렬>은 무엇인가?
-to be continued..
※ 개인공부 목적으로 정리한 내용들입니다.
출처
https://sdolnote.tistory.com/entry/Linearity
선형이라는 것의 의미 (Linear 하다는 것의 의미)
대학에서 수학을 배우다 보면, 선형이라는 말 또는 linear하다는 말을 굉장히 많이 듣게 될 것이다. 하지만 나의 경우는 이런 말을 들을 때마다 상당히 불편했다. 선형이라는 것은 개념상 직선을
sdolnote.tistory.com
https://blog.naver.com/gosunwoo97/221074463296
1. 선형성 정의
이 글은 한양대학교 이상화 교수님의 KOCW 강의를 듣고 정리하는 글입니다.Linearity (선형성)이름이 ...
blog.naver.com
https://seokyeongheo.github.io/2018/09/05/linear-algebra-1/
선형대수란 무엇인가?
선형대수는 왜 선형대수인가?선형대수는 왜 행렬을 가르치는가?선형대수는 데이터과학에 어떻게 사용되는가? 선형대수를 사용하는 이유 - 김도형 박사님 강의노트선형대수를 사용하면 대량의
seokyeongheo.github.io
https://ko.wikipedia.org/wiki/%EC%84%A0%ED%98%95%EB%8C%80%EC%88%98%ED%95%99
선형대수학 - 위키백과, 우리 모두의 백과사전
위키백과, 우리 모두의 백과사전. 3차원 유클리드 공간 R³은 벡터 공간이고, 원점을 지나가는 직선과 평면들은 R³의 부분공간이다. 선형대수학(線型代數學, 영어: linear algebra)은 벡터 공간, 벡터,
ko.wikipedia.org
'기초 공부 > 선형대수학' 카테고리의 다른 글
| [선형대수학] 5.벡터공간(vector space) 및 부분 공간(sub space) (0) | 2024.09.04 |
|---|---|
| [선형대수학] 4.벡터의 놈(norm) (4) | 2024.09.02 |
| [선형대수학] 3.정사영(Projection)과 내적(Inner Product) (0) | 2024.09.01 |
| [선형대수학] 2.행렬(Matrix)이란? (0) | 2024.08.31 |